728x90
반응형
|
정의상 가정 |
magnetic material_강반자성AFM(antiferromagnetic), 강자성FM(ferromagnetic), paramagnetic, diamagnetic, 자화에너지
|
|
내용상 가정 |
|
|
공식 |
|
|
단위 |
|
|
응용 |
|
↑파란 박스의 글자를 클릭하시면 가정과 응용으로 넘어 가실 수 있습니다!!
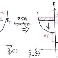
Zeeman에너지는 자기장과 자성이 상호작용하는 에너지입니다.
어렵게 생각할필요 없이, 나침반이 북쪽을 가르치는것, 철가루가 자기장을 따라 정렬되는 것 모두 Zeeman 에너지 입니다.
다시말해 자성을 다룰때 자기장과 연관된 에너지에는 꼭 포함된다고 생각하시면 됩니다.
식으로 표현한다면 자성과 자기장의 내적입니다. H가 자기장이고 M 자석의 자성이라고 본다면 다음과 같은 식을 쓸 수 있습니다.
여기서 H가 자기장 M이 포화자화입니다. 이때 H의 각은 자기장 방향이며, M의 각은 자화방향입니다. 조금더 연속적으로 쓴다면,
입니다.
반응형
'스핀트로닉스' 카테고리의 다른 글
| spin voltage (spin potential)_스핀 전압 (0) | 2018.04.12 |
|---|---|
| 강자성체에서 에너지 대역(band theory in ferromagnetic) (0) | 2018.04.12 |
| 스핀 필터(spin filter)_spin filtering, spin dephasing, spin accumulation (0) | 2018.03.25 |
| quantum magnetism (0) | 2018.03.23 |
| RKKY interaction (exchange) (Ruderman–Kittel–Kasuya–Yosida) _ spin interaction (2) | 2018.03.15 |