|
가정 |
고체 초고주파 신호 발생기 , 오실레이터 (GHz THz Signal Generation , oscillator) 초고주파 신호 검출기 (GHz THz Signal Detection) 진공관 초고주파 신호 발생기 , 오실레이터 (GHz THz Signal Generation , oscillator) |
|
요약 |
|
|
응용 |
|
↑파란 박스의 글자를 클릭하시면 가정과 응용으로 넘어 가실 수 있습니다!!
초고주파 회로를 다룰 때 뜬금없이 Gaussian beam이라는 개념이 생겨나게 됩니다.
100GHz정도의 파의 경우 즉 u wave일때가 되면 신호를 송신하던 cable에서 loss가 너무 많이 생기게 됩니다.
이에 대비하여 Rectangular wave guide라는 형태로 300GHz정도까지는 신호를 전송할 수 있습니다.
그러나 이 마져도 더 높아지면 loss가 생기게 되고 여기서 부터는 free space propagation을 해야합니다.
딱 이 부분에서 optics와 electromagnetics가 만나는 영역이 됩니다.
이때 이 Free space propagation에서 진행하는 wave는 일반적인 wave형태가 아닌 앞으로 다룰 Gaussian beam의 형태를 형성하게 됩니다. 아직 진정한 ray optics가 되기에는 파장에 비교하여 transverse가 small dimension이기 때문입니다.
이는 Optics와 비교하면 바로 이해가 되는데요 바로 아래 표기해 두었습니다.

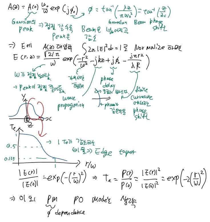
이는 전자기파의 공식에서 time의 항을 빼서 정리해논 Helmholtz equation부터 시작하면 설명할 수 있습니다.
$$(\nabla ^2 + k^2)E=0$$
여기부터는 수식이 너무 많으므로 그림으로 설명 후 포스팅을 하겠습니다


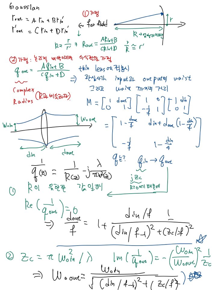
이제 Gaussian beam에 대해 어느정도 알았으니 전파를 어떻게 하나 보겠습니다. 이는 광학에 적용하는 것과 같은데 먼저 광학에서 어떻게 하는지 RTM이론을 보겠습니다.


이제 Gaussian을 RTM에 적용해 보겠습니다. 별게 아니라 그저 Far field를 가정하고 q를 정의하여 대입만 하면 됩니다.


'전자공학' 카테고리의 다른 글
| Process in memory , Process with memory , Process near memory 란? (PIM) (0) | 2020.10.30 |
|---|---|
| Bias tees (바이어스 티) (0) | 2020.08.23 |
| 반도체 소자 물질별 특성 (0) | 2020.05.10 |
| Oscillator : 발진기 성능 향상법 (N-push , Frequency multiplier , power combining , beamforming (0) | 2020.05.09 |
| 고체 초고주파 신호 발생기 , 오실레이터 (GHz THz Signal Generation , oscillator) (0) | 2020.05.06 |