728x90
반응형
전자적인 내용을 다룬다면 항상 전류와 전압에 대한 이해가 되어있어야 합니다.
수많은 포스팅에서 다루었듯, 엄청 깊지도 않고 얕지도 않은 전류에 대한 내용을 생각해보겠습니다.
아래의 내용들 모두 전류에 관한 것입니다.
Net current in Fermi level_quasi fermi level
Nearly free electron model_밴드갭(band gap)
Free electron model(Drude–Sommerfeld model)_density of states, Fermi level
드루드 모델(Drude model)_전류(current), 전도도(conductivity), 이동도(mobility)
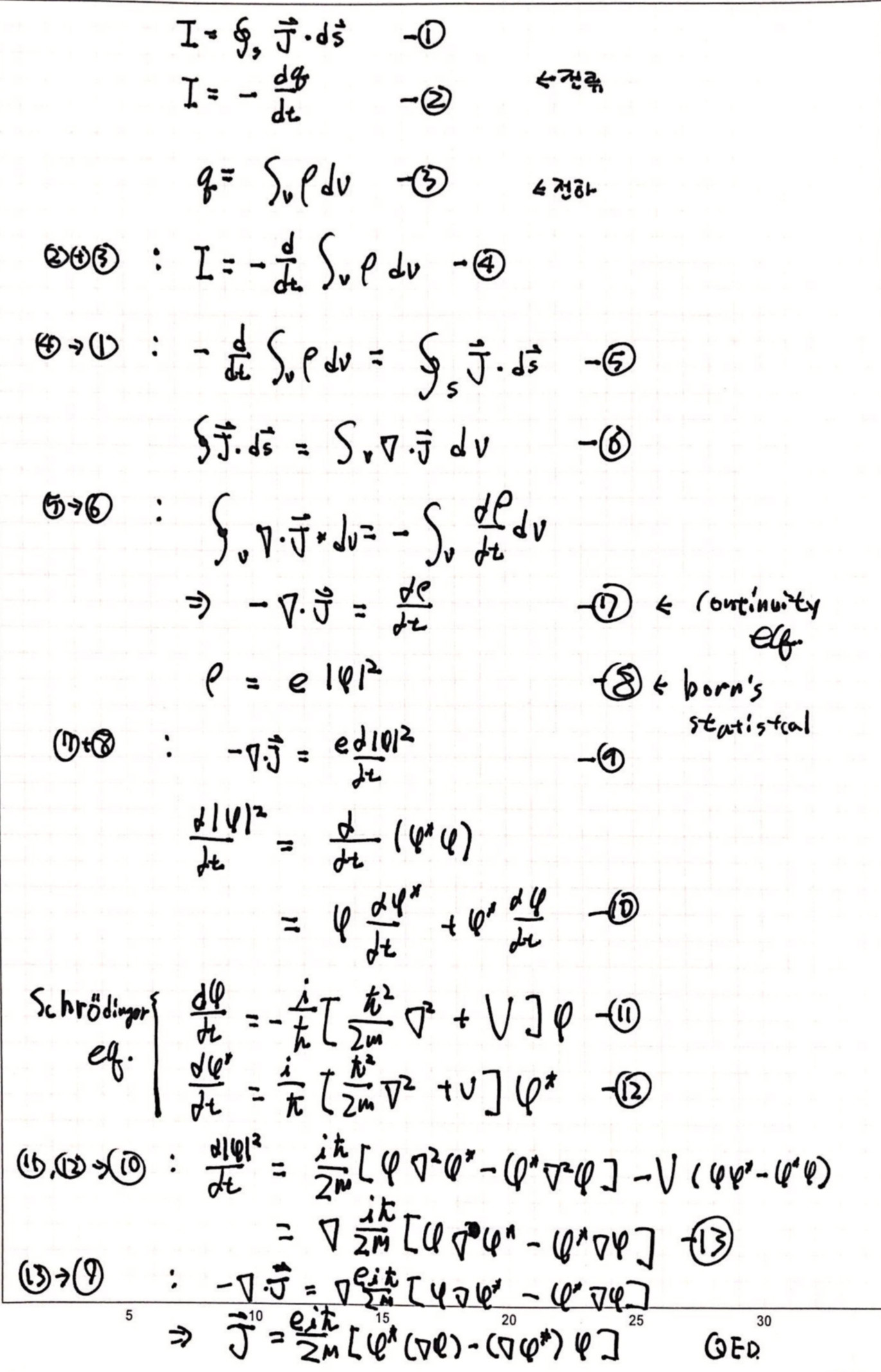
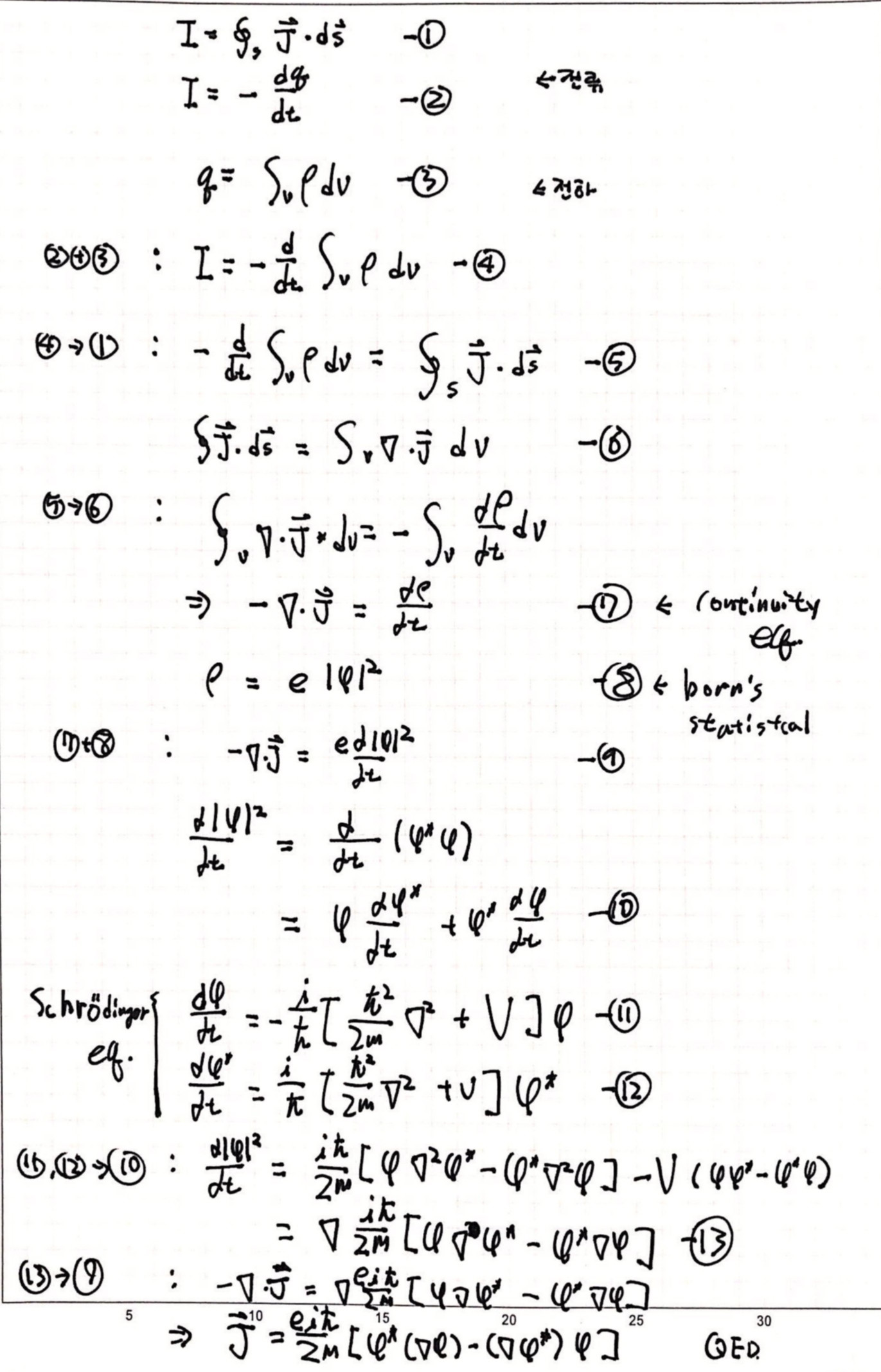
하지만 모두 공통된 개념을 가지고 있습니다,
바로 전류는 전하의 흐름이고,
시간당 흐른 전하의 갯수만 파악하면 되며
전하를 전자라고 생각한다면
전자는 파동함수이므로 확률로써 갯수를 유추할 수 있다는 것입니다.
다시말해 어떤 시스템이 있다면, 그 시스템의 전자 파동 함수를 알면
파동함수의 절대값의 재곱을 구해,
전자가 존재하는 확률을 구하고,
존재하는 확률에 전하밀도를 곱해 실제 전자 갯수를 알며
이 갯수의 시간에 따른 변화량을 구하면 전류가 됩니다.
다시말해 전자의 파동함수만 알면 됩니다.
이 수식은 다음에서 간단하게 유도해 놓았으니 천천히 음미하면 좋습니다!!

반응형
'Review' 카테고리의 다른 글
| 뉴로모픽 컴퓨팅 (Neuromorphic Computing) _ 인공지능 (1) | 2020.07.27 |
|---|---|
| [특집] Spintronics 측정 (MRAM 측정) (0) | 2019.12.19 |
| [특집] Ferromagnetic vs Ferrimagnetic vs Antiferromagnetic Spintronics (0) | 2019.06.13 |
| 자성학 (스핀트로닉스) 공식 정리 (0) | 2018.08.20 |
| scale of magnetization (자성의 크기) (2) | 2018.07.12 |